Política - Plan Cuscatlán
Ferris, metros, aeropuerto, tren elevado y otras obras que promete Bukele costarán entre $1,500 y $2,400 millones
De acuerdo con plan celeste, las grandes obras de infraestructura responden a la necesidad de desarrollar a corto, mediano y largo plazo, la zona oriental y occidental del país y rescatar las “zonas olvidadas”, como se refirió en más de alguna vez Bukele cuando habló La Unión y otros departamentos orientales.
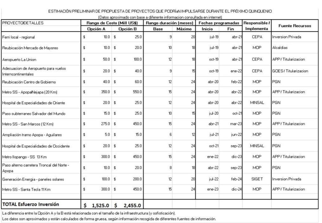
En el Plan Cuscatlán, la propuesta de gobierno que el candidato presidencial del GANA, Nayib Bukele, presentó la semana pasada, se detallan proyectos ambiciosos de infraestructura como ferris, metros, tren elevado, aeropuertos y otros que prometió hacerlos realidad en caso de ganar las presidenciales de febrero. Los proyectos tienen un costo que oscila entre los $1,500 y $2,400 millones.
De acuerdo con plan celeste, las grandes obras de infraestructura responden a la necesidad de desarrollar a corto, mediano y largo plazo, la zona oriental y occidental del país y rescatar las “zonas olvidadas”, como se refirió en más de alguna vez Bukele cuando habló La Unión y otros departamentos orientales.
“Durante los próximos cinco años, se espera dejar importantes obras de infraestructura, como pilar básico de cambio estructural que necesita la economía, que permitan mejorar la calidad de vida, pero también construir y facilitar la competitividad de la economía y su capacidad de generar empleo”, se lee en uno de los párrafos del plan referente a los proyectos.
En la tabla que se ha elaborado en el plan, se detalla que las obras de infraestructura podrán llevarse a cabo de dos formas: “opción A y opción B”. En la primera alternativa, el costo es el menor de ambos casos, $1,525 millones. La otra tiene un costo significativamente más elevado llegando a los $2,455 millones.
Pese al incremento, no hay mayores datos comparativos de ambas alternativas, tan solo una referencia: “La diferencia entre la opción A y B está relacionada con el tamaño de la infraestructura y sofisticación”.
Los costos son los siguientes: para el ferri local y regional, están marcados como $10 millones en la opción A y $25 millones por la opción B. La reubicación del Mercado de Mayoreo también tiene un costo de $10 millones y $20 millones la más cara.
Este es el proyecto que ha sido denominado Tren del Pacífico y se plantea como una manera de conexión entre los países de la región centroamericana y será utilizado para el transporte de carga, mercancía y demás, así como transporte de pasajeros. “Esto llevará al desarrollo económico, implicará la generación de empleos, directos e indirectos, y aliviará la crisis vehicular”, señala.
El aeropuerto de La Unión o aeropuerto del Pacífico, uno de los primeros proyectos que Bukele anunció de este plan, tiene un costo de $50 millones y la opción más cara es de $100 millones. En este caso, algunos detractores de Bukele han señalado que un aeropuerto tiene un costo de, más o menos, $400 millones.
La adecuación para vuelos internacionales de la terminal aérea tiene costos aparte y están calculados en $20 millones y $40 millones, respectivamente.
También está proyectado en el plan mover el Centro de Gobierno, ubicado sobre la avenida Juan Pablo II a otra zona. Esto tiene un costo estimado entre $40 millones y $60 millones de ser a segunda opción.
Un hospital de especialidades de la zona oriental costará entre $20 y 25 millones, mismos costos que están contemplados para otro nosocomio de especialidades en occidente.
Cuatro metros en el Gran San Salvador
Los proyectos más caros que Bukele emprenderá, en caso de ganar, son cuatro metros, uno que vaya desde Apopa a Nejapa, en un recorrido de 20 kilómetros, que costará entre $350 millones y $550 millones. Otro metro en San Marcos, 12 kilómetros de recorrido, por $275 millones y 450 millones; otro metro de Ilopango, 13 kilómetros de recorrido, por un costo de $300 millones y $450 millones. El último metro será en Santa Tecla, de 11 kilómetros, por $300 millones y $450 millones, respectivamente.
En el caso de los metros, la alternativa más barata, es decir; la opción A, en total costarían alrededor de $1,225 millones. La alternativa más cara, opción B, tiene un costo de $1,900 millones. En el primer caso, representa un poco más más de la sexta parte del presupuesto general de la nación de este 2019. En el segundo caso, representaría un costo de la tercera parte del presupuesto.
Otro de los proyectos es el paso subterráneo que será en la zona de la plaza Salvador del Mundo que tendría un valor de $15 millones y $25 millones, de ser la opción B. Ampliación y mejoramiento de las carreteras que conducen de Apoya a Aguilares y mejoramiento de la Troncal del Norte tendrán un costo entre los $5 millones y $15 millones, y en el caso de la Troncal, de $10 millones a $20 millones.
Estos proyectos de transporte y conectividad nacen porque el transporte público salvadoreño es “peligroso y arcaico”. “Estas medidas aliviarían el problema del transporte de personas pasajeras y de carga. En una primera etapa, se propone rehabilitar las vías de San Salvador a Quezaltepeque y continuar ampliando las vías, de manera constante, hasta tener cobertura ferroviaria a nivel nacional”.
La generación de energía mediante paneles solares costará entre $100 a $450 millones, esto como parte de su propuesta de buscar fuentes de energía renovable para sustentar su apuesta de iluminar el 100% del territorio, de la mano de tecnologías como luces LED que consumen menos electricidad y generan más luz.

Financiamiento
La apuesta para poder conseguir los montos de los financiamientos pasa por lograr Asocios Públicos-Privados (APP) y que de esta manera el Estado tenga que invertir solo $448.75 millones si se escoge la opción más barata de cada uno de los proyectos y la inversión privada sería de $1,066.25.
El complemento sería puesto por las alcaldías que otorgarían $10 millones que en suma lograrían los $1,525 millones.

De escoger la opción más cara de cada uno de los proyectos planteados, del presupuesto de la nación saldrían $210 millones más otros $500 millones de inversión pública. La empresa privada deberá invertir $1,725 millones y las alcaldías otros $20 millones para completar los $2,455 millones.
Según lo que consigna el Plan Cuscatlán, los trabajos se ejecutarán desde julio de 2019, siendo el primero de ellos el ferri local y regional, que terminaría su construcción en abril de 2021.
El último proyecto sería el metro de Santa Tecla, que iniciaría en enero de 2023 y finalizaría en diciembre de 2024. Los proyectos que más tardarían en ejecutarse son todos los metros, con un período de 15 meses.
